tikz pgf Flowchart draw line from node to edge TeX LaTeX Stack Exchange

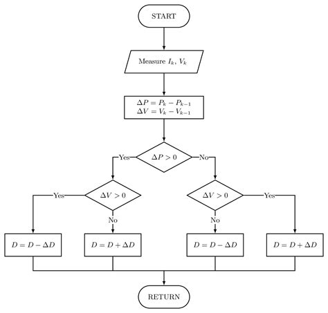
Flow Chart In Latex. Pgfplots Flowchart Tikz For Process With Levels Tex Latex Stack Images The flowchart is about tracking the maximum power point using the algorithm P&O I hope some LaTeX experts here can help me with this

Beamer Tikz Flow Chart Tex Latex Stack Exchange 884
Beamer Tikz Flow Chart Tex Latex Stack Exchange 884 from mungfali.com

I have used the packages, \usepackage{tikz} \usetikzlibrary{shapes,arrows} But I couldn't get what I want First, let's define the block we're going to use for start and stop blocks

Beamer Tikz Flow Chart Tex Latex Stack Exchange 884

I have used the packages, \usepackage{tikz} \usetikzlibrary{shapes,arrows} But I couldn't get what I want The convert= option tells standalone to use ImageMagick's convert to convert the result into an image with the given output extension (outext=.png), and with the given resolution of 300 dpi (density=300).standalone will automatically make sure the size of the document is adapted to that of the visible content. Open Latex and click the top menu option labeled Wizards

How to Draw Flowcharts in LaTeX using TikZ? TikZBlog. First, let's define the block we're going to use for start and stop blocks The flowchart is about tracking the maximum power point using the algorithm P&O

Pgfplots Flowchart Tikz For Process With Levels Tex Latex Stack Images. We'll name it startstop using curly brackets immediately following the command, then we add an equals sign before a set of square brackets. This opens a new, blank document in which you can start writing the code to create your flowchart